Forebears of Cecil E. Hartman and Joanna M. Barber

Hartman - Barber Ancestor
  • Search Page
  • Tobias Hartman Type Y-DNA c1739 - 1816

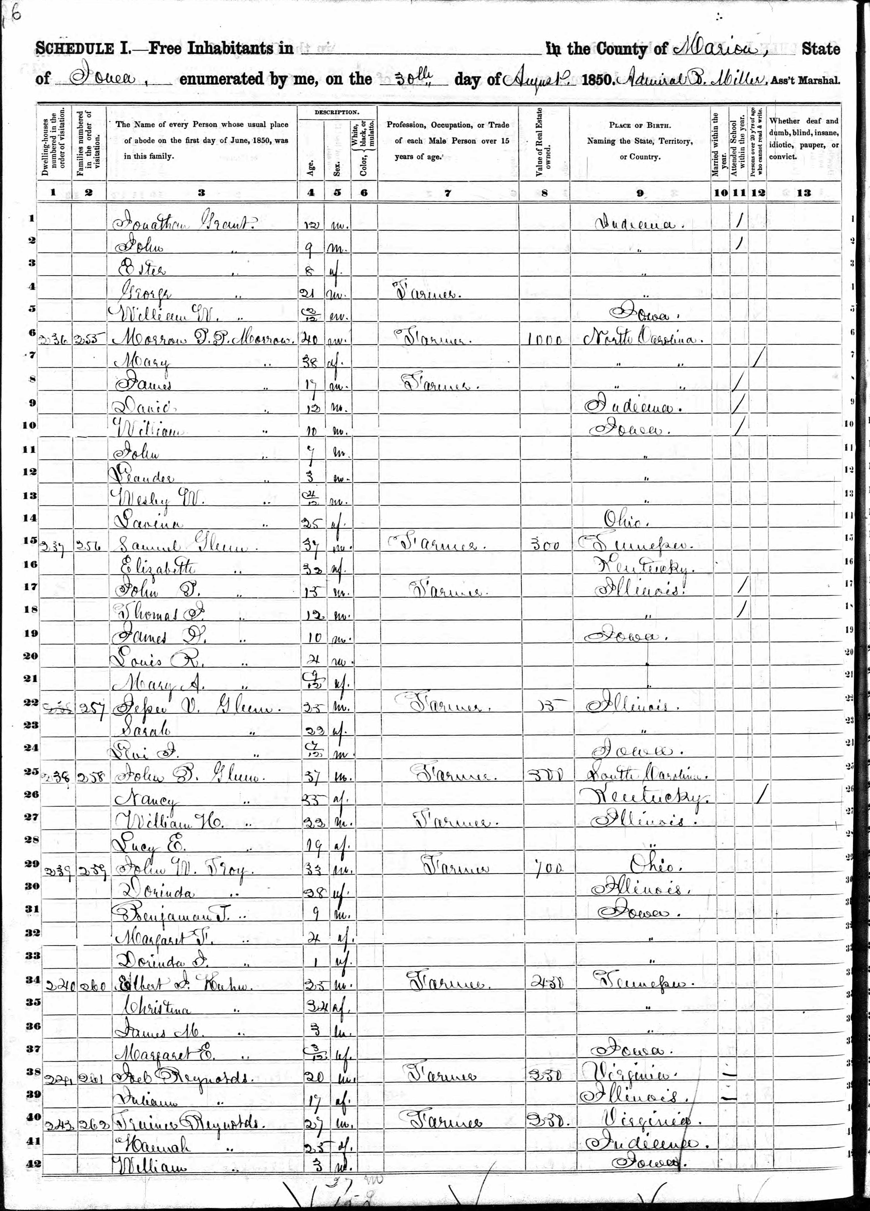
1850 US Census for
Daniel Grant and family
page 2

See:

  • Daniel Grant
  • Esther Grant
  • George Grant
  • Mary Grant
  • Mahala Grant
  • Elizabeth Grant
  • Jonathan Grant
  • John Grant
  • Ester Grant
  • William W Grant

This data may be used by non-commercial entities, as long as this message remains on all material copied, and credit is cited for the sources.
Copying of the files within by non-commercial individuals and libraries is encouraged.
You cannot reproduce any of these electronic pages in any format for profit or other gains.
Any other use, including publication, storage in a retrieval system, or transmission by electronic, mechanical, or other means requires the written approval of the file's author.


Compiler: Robert Hartman, Saint Charles, Missouri 63303-5619
Site updated on 01.06.2023 at 8:02:17 PM from HARTMAN; 4,403 people
Page created by John Cardinal's Second Site v8.03.  |  Graphics by Carla's Graphic Designs